Clocinizine
Clinical data
Trade namesSenioral (with PPATooltip phenylpropanolamine)
AHFS/Drugs.comInternational Drug Names
Routes of
administration
By mouth
ATC code
  • none
Identifiers
  • 1-[(4-chlorophenyl)-phenylmethyl]-4-[(E)-3-phenylprop-2-enyl]piperazine
CAS Number
PubChem CID
ChemSpider
UNII
ChEMBL
Chemical and physical data
FormulaC26H27ClN2
Molar mass402.97 g·mol−1
3D model (JSmol)
  • Clc1ccc(cc1)C(c2ccccc2)N3CCN(CC3)C\C=C\c4ccccc4

Clocinizine is a first-generation antihistamine of the diphenylmethylpiperazine class. It is marketed in Spain in combination with phenylpropanolamine under the brand name Senioral.[1]

Synthesis

Synthesis:[2] Patent:[3]

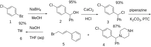
The reduction of 4-Chlorobenzophenone [134-85-0] (1) with NBH gives 4-Chlorobenzhydrol [119-56-2] (2). Halogenation of the alcohol in muriatic acid afforded 4-Chlorobenzhydryl chloride [134-83-8] (3). Alkylation with one equivalent of piperazine gives 1-(4-Chlorobenzhydryl)piperazine [303-26-4] (4). Alkylation of the remaining nitrogen with Cinnamyl Bromide [4392-24-9] (5) completed the synthesis of Clocinizine (6).

References

  1. Fookes C (September 2022). "List of Common Antihistamines + Uses & Side Effects". Drugs.com.
  2. Venkat Narsaiah A, Narsimha P (April 2012). "Efficient synthesis of antihistamines clocinizine and chlorcyclizine". Medicinal Chemistry Research. 21 (4): 538–541. doi:10.1007/s00044-011-9556-x. S2CID 253636495.
  3. DE 2220242, Kato H, Kurata S, "Antiarrhythmic piperazine derivs prepn - from benzhydrylpiperazine cinnamaldehyde by leuckart reaction", issued 1972, assigned to Hokuriku Pharmaceutical
This article is issued from Wikipedia. The text is licensed under Creative Commons - Attribution - Sharealike. Additional terms may apply for the media files.