A cartoon depiction of a stapled peptide. The red coloring depicts a helix, and the green coloring denotes the hydrocarbon staple. Rendering based on PDB 4MZK.[1]

A stapled peptide is a short peptide, typically in an alpha-helical conformation,[2] that is constrained by a synthetic brace ("staple"). The staple is formed by a covalent linkage between two amino acid side-chains, forming a peptide macrocycle. Staples, generally speaking, refer to a covalent linkage of two previously independent entities. Peptides with multiple, tandem staples are sometimes referred to as stitched peptides.[3][4] Among other applications, peptide stapling is notably used to enhance the pharmacologic performance of peptides.[4]

Introduction

The two primary classes of therapeutics are small molecules and protein therapeutics. The design of small molecule inhibitors of protein-protein interactions has been impeded by issues such as the general lack of small-molecule starting points for drug design, the typical flatness of the interface, the difficulty of distinguishing real from artifactual binding, and the size and character of typical small-molecule libraries.[5] Meanwhile, the protein therapeutics that lack these issues are bedeviled by another problem, poor cell penetration due to an insufficient ability to diffuse across the cell membrane. Additionally, protein and peptides are often subject to proteolytic degradation if they do enter the cell. Furthermore, small peptides (such as single alpha-helices or α-Helices) can lose helicity in solution due to entropic factors, which diminishes binding affinity.[4]

α-Helices are the most common protein secondary structure and play a key role in mediating many protein–protein interactions (PPIs) by serving as recognition motifs.[6] PPIs are frequently misregulated in disease, provides the long-running impetus to create alpha-helical peptides to inhibit disease-state PPIs for clinical applications, as well as for basic science applications. Introducing a synthetic brace (staple) helps to lock a peptide in a specific conformation, reducing conformational entropy. This approach can increase target affinity, increase cell penetration, and protect against proteolytic degradation.[4][7] Various strategies have been employed for constraining α-helices, including the non-covalent and covalent stabilization techniques; however, the all-hydrocarbon covalent link, termed a peptide staple, has been shown to have improved stability and cell penetrability, making this stabilization strategy particularly relevant for clinical applications.[8]

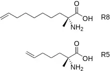
Invention

Olefin terminated, non-natural amino acids used to as building blocks to form stapled peptides. R isomers shown, but S enantiomers may also be used.[7]

Staples synthesized using ring-closing metathesis (RCM) are common.[7] This variation of olefin metathesis and its application to stapled peptides was developed by Nobel laureate Robert H. Grubbs and Helen Blackwell in the late 1990s, who used the Grubbs catalyst to cross-link O-allylserine residues in a covalent bond.[9] In 2000, Gregory Verdine and colleagues reported the first synthesis of an all-hydrocarbon cross-link for peptide α-helix stabilization, combining the principles of RCM with α,α-disubstitution of the amino acid chiral carbon and on-resin peptide synthesis.[10][11] In collaboration with Edward Taylor of Princeton University, Loren Walensky, who was then a post-doc in Verdine's lab, subsequently demonstrated that stapling BH3 peptides enabled the synthetic peptides to retain their α-helical conformation, further demonstrating that these peptides were taken up by cancer cells and bound their physiologic BCL-2 family targets, which correlated with the induction of cell death.[12] Walensky discovered that the peptides side-stepped the membrane diffusion issue by crossing the membrane through active endosomal uptake, which deposited the peptides inside of the cell.[13] Since this first proof of principle, peptide stapling technology has been applied to numerous peptide templates, allowing the study of many other PPIs using stapled peptides including cancer targets such as p53, MCL-1 BH3, and PUMA BH3, as well as other therapeutic targets ranging from infectious diseases to metabolism.[14]

Clinical Application

In 2013, Aileron Therapeutics, which was co-founded by Verdine, Walensky and Taylor, completed the first stapled peptide clinical trial with their growth-hormone-releasing hormone agonist ALRN-5281.[15] As of 2019, Aileron Therapeutics is developing another candidate, ALRN-6924, in a Phase 2a trial that assesses the combination of ALRN-6924 and Pfizer’s palbociclib for the treatment of patients with MDM2-amplified cancers, and a Phase 1b/2 clinical trial to evaluate ALRN-6924 as a myelopreservative agent to protect against chemotherapy-induced toxicities.[16]

See also

References

  1. Douse, CH; Maas, SJ; Thomas, JC; Garnett, JA; Sun, Y; Cota, E; Tate, EW (17 October 2014). "Crystal structures of stapled and hydrogen bond surrogate peptides targeting a fully buried protein-helix interaction". ACS Chemical Biology. 9 (10): 2204–9. doi:10.1021/cb500271c. PMID 25084543.
  2. Lau, Yu Heng; Andrade, Peterson de; Wu, Yuteng; Spring, David R. (2014-12-08). "Peptide stapling techniques based on different macrocyclisation chemistries". Chemical Society Reviews. 44 (1): 91–102. doi:10.1039/C4CS00246F. ISSN 1460-4744. PMID 25199043.
  3. Chu, Qian; Moellering, Raymond E.; Hilinski, Gerard J.; Kim, Young-Woo; Grossmann, Tom N.; Yeh, Johannes T.-H.; Verdine, Gregory L. (2015). "Towards understanding cell penetration by stapled peptides". Med. Chem. Commun. 6 (1): 111–119. doi:10.1039/c4md00131a.
  4. 1 2 3 4 Verdine, GL; Hilinski, GJ (2012). Stapled peptides for intracellular drug targets. Methods in Enzymology. Vol. 503. pp. 3–33. doi:10.1016/B978-0-12-396962-0.00001-X. ISBN 9780123969620. PMID 22230563.
  5. Arkin, Michelle R.; Wells, James A. (April 2004). "Small-molecule inhibitors of protein–protein interactions: progressing towards the dream". Nature Reviews Drug Discovery. 3 (4): 301–317. doi:10.1038/nrd1343. PMC 4179228. PMID 15060526.
  6. Moon, Heejo; Lim, Hyun-Suk (2015-02-01). "Synthesis and screening of small-molecule α-helix mimetic libraries targeting protein–protein interactions". Current Opinion in Chemical Biology. Omics. 24: 38–47. doi:10.1016/j.cbpa.2014.10.023. ISSN 1367-5931. PMID 25461722.
  7. 1 2 3 Walensky, LD; Bird, GH (14 August 2014). "Hydrocarbon-stapled peptides: principles, practice, and progress". Journal of Medicinal Chemistry. 57 (15): 6275–88. doi:10.1021/jm4011675. PMC 4136684. PMID 24601557.
  8. Roy, Siddhartha; Ghosh, Piya; Ahmed, Israr; Chakraborty, Madhumita; Naiya, Gitashri; Ghosh, Basusree (December 2018). "Constrained α-Helical Peptides as Inhibitors of Protein-Protein and Protein-DNA Interactions". Biomedicines. 6 (4): 118. doi:10.3390/biomedicines6040118. PMC 6315407. PMID 30567318.
  9. Blackwell, Helen E.; Grubbs, Robert H. (17 December 1998). "Highly Efficient Synthesis of Covalently Cross-Linked Peptide Helices by Ring-Closing Metathesis". Angewandte Chemie International Edition. 37 (23): 3281–3284. doi:10.1002/(SICI)1521-3773(19981217)37:23<3281::AID-ANIE3281>3.0.CO;2-V. PMID 29711420.
  10. Schafmeister, Christian E.; Po, Julia; Verdine, Gregory L. (June 2000). "An All-Hydrocarbon Cross-Linking System for Enhancing the Helicity and Metabolic Stability of Peptides". Journal of the American Chemical Society. 122 (24): 5891–5892. doi:10.1021/ja000563a. ISSN 0002-7863.
  11. Walensky, Loren D.; Bird, Gregory H. (2014-08-14). "Hydrocarbon-Stapled Peptides: Principles, Practice, and Progress". Journal of Medicinal Chemistry. 57 (15): 6275–6288. doi:10.1021/jm4011675. ISSN 0022-2623. PMC 4136684. PMID 24601557.
  12. Walensky, Loren D.; Kung, Andrew L.; Escher, Iris; Malia, Thomas J.; Barbuto, Scott; Wright, Renee D.; Wagner, Gerhard; Verdine, Gregory L.; Korsmeyer, Stanley J. (2004-09-03). "Activation of Apoptosis in Vivo by a Hydrocarbon-Stapled BH3 Helix". Science. 305 (5689): 1466–1470. doi:10.1126/science.1099191. ISSN 0036-8075. PMC 1360987. PMID 15353804.
  13. Wolfson, Wendy (2009-09-25). "Aileron Staples Peptides". Chemistry & Biology. 16 (9): 910–912. doi:10.1016/j.chembiol.2009.09.008. ISSN 1074-5521. PMID 19778714.
  14. Robertson, Naomi S.; Jamieson, Andrew G. (2015-08-12). "Regulation of proteinprotein interactions using stapled peptides". Reports in Organic Chemistry. Retrieved 2019-11-04.
  15. "Phase 1 Safety Study of ALRN-5281 in Healthy Subjects". ClinicalTrials. U.S. National Institutes of Health. Retrieved 23 July 2015.
  16. "Pipeline". Aileron Therapeutics. Retrieved 2019-11-04.
This article is issued from Wikipedia. The text is licensed under Creative Commons - Attribution - Sharealike. Additional terms may apply for the media files.